Ανισότητα Young - Εξαιρετική άσκηση

Συντονιστής: R BORIS

Θωμάς Ποδηματάς
Δημοσιεύσεις: 371
Εγγραφή: Κυρ Σεπ 25, 2011 9:23 pm
Τοποθεσία: Βόλος Μαγνησίας

Ανισότητα Young - Εξαιρετική άσκηση

#1

Μη αναγνωσμένη δημοσίευση από Θωμάς Ποδηματάς » Κυρ Νοέμ 13, 2011 11:56 pm

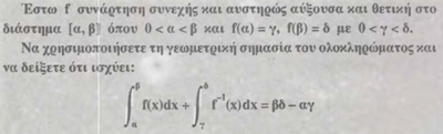
Έστω μία συνάρτηση f: [0, +\infty ) \rightarrow \mathbb{R} παραγωγίσιμη στο [0, +\infty ) με f(0)=0 και f{'}(x)>0, \forall x \in [0,+\infty).
Να δείξετε ότι :
\displaystyle{\int_{0}^{\alpha }{f(x)dx}+\int_{0}^{\beta}{f^{-1}(x)dx} \geq \alpha \beta}, \forall \alpha , \beta \in (0,+ \infty).


Τους Λαιστρυγόνας και τους Κύκλωπας,
τον άγριο Ποσειδώνα δεν θα συναντήσεις,
αν δεν τους κουβανείς μες την ψυχή σου,
αν η ψυχή σου δεν τους στήνει εμπρός σου
(ΙΘΑΚΗ - Κ.Π. ΚΑΒΑΦΗΣ)
Άβαταρ μέλους
chris_gatos
Επιμελητής
Δημοσιεύσεις: 6970
Εγγραφή: Κυρ Δεκ 21, 2008 9:03 pm
Τοποθεσία: Ανθούπολη

Re: Ανισότητα Young - Εξαιρετική άσκηση

#2

Μη αναγνωσμένη δημοσίευση από chris_gatos » Δευ Νοέμ 14, 2011 12:13 am

Αυτή όσο και να σκοτωθούμε αποκλείεται να τη βγάλουμε σχολικά,αφού προϋποθέτει και τη συνέχεια αλλά και τη μονοτονία της αντίστροφης.
Για να γίνει σχολική πρέπει αυτά να τα δηλώσουμε στην εκφώνηση.
Ωστόσο ένας μαθητής μπορεί να τη βγάλει σε μία γραμμή με τη βοήθεια των γρ.παραστάσεων των δύο συναρτήσεων,απλά και μόνο παρατηρώντας πως
\displaystyle{ 
E_1  + E_2  \ge ab 
}
όπου \displaystyle{ 
E_1 ,E_2  
} τα εμβαδά των \displaystyle{ 
C_f ,C_{f^{ - 1} }  
} με τους άξονες χ'χ,ψ'ψ αντίστοιχα και ab το εμβαδό του ορθογωνίου με αυτές τις διαστάσεις.
Μήπως θα έπρεπε να μπει σε άλλο φάκελο;


Χρήστος Κυριαζής
Θωμάς Ποδηματάς
Δημοσιεύσεις: 371
Εγγραφή: Κυρ Σεπ 25, 2011 9:23 pm
Τοποθεσία: Βόλος Μαγνησίας

Re: Ανισότητα Young - Εξαιρετική άσκηση

#3

Μη αναγνωσμένη δημοσίευση από Θωμάς Ποδηματάς » Δευ Νοέμ 14, 2011 12:35 am

Χρήστο εγώ την έλυσα σχολικά εντελώς, εντάξει θεωρώντας ότι η αντίστροφη είναι συνεχής, οκ. Με πρώτη ευκαιρία θα πληκτρολογήσω και τη λύση της, απλά τώρα είναι αρκετά αργά και δούλευα όλη μέρα για να πληκτρολογήσω σε latex όλο αυτό το πράμα... Σκέφτομαι... ίσως το ανεβάσω ως συνημμένο pdf το χειρόγραφο της λύσης μου...


Τους Λαιστρυγόνας και τους Κύκλωπας,
τον άγριο Ποσειδώνα δεν θα συναντήσεις,
αν δεν τους κουβανείς μες την ψυχή σου,
αν η ψυχή σου δεν τους στήνει εμπρός σου
(ΙΘΑΚΗ - Κ.Π. ΚΑΒΑΦΗΣ)
Άβαταρ μέλους
ΔΗΜΗΤΡΙΟΣ ΚΑΤΣΙΠΟΔΑΣ
Δημοσιεύσεις: 681
Εγγραφή: Δευ Απρ 20, 2009 8:25 pm
Τοποθεσία: Καλαμάτα
Επικοινωνία:

Re: Ανισότητα Young - Εξαιρετική άσκηση

#4

Μη αναγνωσμένη δημοσίευση από ΔΗΜΗΤΡΙΟΣ ΚΑΤΣΙΠΟΔΑΣ » Δευ Νοέμ 14, 2011 12:50 am

Εφαρμογή τηε ανισότητας Young είχε γινει και στα παρακάτω:
viewtopic.php?f=56&t=2489&p=13516#p13516
viewtopic.php?f=54&t=2496


\displaystyle{
{\rm K}\alpha \tau \sigma \dot \iota \pi o\delta \alpha \varsigma \begin{array}{*{20}c}
   {} & {\Delta \eta \mu \dot \eta \tau \rho \eta \varsigma }  \\
\end{array}
}
Atemlos
Δημοσιεύσεις: 587
Εγγραφή: Τετ Αύγ 17, 2011 6:11 am
Τοποθεσία: North

Re: Ανισότητα Young - Εξαιρετική άσκηση

#5

Μη αναγνωσμένη δημοσίευση από Atemlos » Δευ Νοέμ 14, 2011 2:11 am

Mια αντιμετώπιση από το Θ.Καζαντζή σε ένα απο τα υποδειγματικά του βιβλία :
Συνημμένα
p1.png
p1.png (53.55 KiB) Προβλήθηκε 6366 φορές
p2.png
p2.png (277.78 KiB) Προβλήθηκε 6366 φορές


Άβαταρ μέλους
chris_gatos
Επιμελητής
Δημοσιεύσεις: 6970
Εγγραφή: Κυρ Δεκ 21, 2008 9:03 pm
Τοποθεσία: Ανθούπολη

Re: Ανισότητα Young - Εξαιρετική άσκηση

#6

Μη αναγνωσμένη δημοσίευση από chris_gatos » Δευ Νοέμ 14, 2011 9:54 am

Atemlos έγραψε:Mια αντιμετώπιση από το Θ.Καζαντζή σε ένα απο τα υποδειγματικά του βιβλία :
Φίλε Atemlos ωραία η παραπομπή σου,αλλά δεν είναι η ανισότητα Young αυτή!


Χρήστος Κυριαζής
Θωμάς Ποδηματάς
Δημοσιεύσεις: 371
Εγγραφή: Κυρ Σεπ 25, 2011 9:23 pm
Τοποθεσία: Βόλος Μαγνησίας

Re: Ανισότητα Young - Εξαιρετική άσκηση

#7

Μη αναγνωσμένη δημοσίευση από Θωμάς Ποδηματάς » Δευ Νοέμ 14, 2011 10:11 am

Τις λύσεις του Τεράστιου Δάσκαλου Θ.Ν. Καζαντζή, είναι ιεροσυλία και να σκεφτεί κανείς να σχολιάσει... :oops:

Επιμένω όμως ότι έχω κάνει λύση "Λυκειακή" χρησιμοποιώντας μόνο το ότι η αντίστροφη συνεχούς είναι επίσης συνεχής και γνήσια μονότονη με το ίδιο είδος μονοτονίας με τη συνάρτηση f. Είναι μία σελίδα χειρόγραφη και για να πληκτρολογηθεί σε latex θέλει χρόνο τον οποίον δεν έχω αυτή τη στιγμή, καθώς έχω 25 διαγωνίσματα (θηρία) να διορθώσω...


Τους Λαιστρυγόνας και τους Κύκλωπας,
τον άγριο Ποσειδώνα δεν θα συναντήσεις,
αν δεν τους κουβανείς μες την ψυχή σου,
αν η ψυχή σου δεν τους στήνει εμπρός σου
(ΙΘΑΚΗ - Κ.Π. ΚΑΒΑΦΗΣ)
Θωμάς Ποδηματάς
Δημοσιεύσεις: 371
Εγγραφή: Κυρ Σεπ 25, 2011 9:23 pm
Τοποθεσία: Βόλος Μαγνησίας

Re: Ανισότητα Young - Εξαιρετική άσκηση

#8

Μη αναγνωσμένη δημοσίευση από Θωμάς Ποδηματάς » Τετ Νοέμ 23, 2011 12:22 am

Κατ’ αρχάς, να ζητήσω συγγνώμη από την παρέα του :logo: που δεν έδωσα νωρίτερα τη «λυκειακή» μου λύση, η οποία όπως ο Χρήστος επεσήμανε παραπάνω προϋποθέτει τη συνέχεια και την μονοτονία της αντίστροφης, τα οποία θεωρώ ότι ισχύουν. Αφ’ ενός γιατί τα έχουμε δει και εδώ στο forum αλλά και η απόδειξή τους – ιδιαίτερα της μονοτονίας – δεν είναι νομίζω ιδιαίτερα περίεργη.
Ονομάζω \displaystyle{I = \int_0^\alpha  {f\left( x \right)dx} } και \displaystyle{ 
J = \int_0^\beta  {f^{ - 1} \left( x \right)dx}  
}
Δουλεύω στο J. Θέτω \displaystyle{ 
f^{ - 1} \left( x \right) = t \Leftrightarrow x = f\left( t \right) 
}, οπότε \displaystyle{ 
dx = f'\left( t \right)dt 
}
Για τα άκρα ολοκλήρωσης, έχουμε :
\displaystyle{ 
x = 0 \Leftrightarrow 0 = f\left( t \right) \Leftrightarrow f\left( 0 \right) = f\left( t \right) \Leftrightarrow t = 0 
} και
\displaystyle{ 
x = \beta  \Leftrightarrow \beta  = f\left( t \right) \Leftrightarrow t = f^{ - 1} \left( \beta  \right) 
}. Έτσι \displaystyle{ 
J = \int_0^{f^{ - 1} \left( \beta  \right)} {tf'\left( t \right)dt}  
}
και με ολοκλήρωση κατά παράγοντες παίρνουμε :

\displaystyle{ 
J = \left[ {tf\left( t \right)} \right]_0^{f^{ - 1} \left( \beta  \right)}  - \int_0^{f^{ - 1} \left( \beta  \right)} {f\left( t \right)dt}  = \beta f^{ - 1} \left( \beta  \right) - \int_0^{f^{ - 1} \left( \beta  \right)} {f\left( t \right)dt}  
}
ή τελικά

\displaystyle{ 
J = \beta f^{ - 1} \left( \beta  \right) + \int_{f^{ - 1} \left( \beta  \right)}^0 {f\left( t \right)dt}  
} (1)
Μετά από το μετασχηματισμό αυτό, η αποδεικτέα γίνεται :

\displaystyle{ 
\int_0^\alpha  {f\left( x \right)dx}  + \beta f^{ - 1} \left( \beta  \right) + \int_{f^{ - 1} \left( \beta  \right)}^0 {f\left( t \right)dt}  \ge \alpha \beta  \Leftrightarrow \beta f^{ - 1} \left( \beta  \right) + \int_{f^{ - 1} \left( \beta  \right)}^\alpha  {f\left( t \right)dt}  \ge \alpha \beta  
} (2)
Θεωρώ τώρα την συνάρτηση : \displaystyle{ 
g\left( x \right) = \int_{f^{ - 1} \left( \beta  \right)}^x {f\left( t \right)dt}  - x\beta  + \beta f^{ - 1} \left( \beta  \right),x > 0,\beta  > 0 
}
Ζητώ να δείξω ότι : \displaystyle{ 
g\left( x \right) \ge 0,\forall x > 0 
} . Πράγματι :

\displaystyle{ 
g'\left( x \right) = f\left( x \right) - \beta ,x > 0 
} και

\displaystyle{ 
g'\left( x \right) = 0 \Leftrightarrow f\left( x \right) = \beta  \Leftrightarrow x = f^{ - 1} \left( \beta  \right) 
} αφού f είναι γνήσια αύξουσα, άρα "1-1"

\displaystyle{ 
g'\left( x \right) > 0 \Leftrightarrow f\left( x \right) > \beta  = f\left( {f^{ - 1} \left( \beta  \right)} \right) \Leftrightarrow x > f^{ - 1} \left( \beta  \right) 
} αφού f είναι γνήσια αύξουσα.

\displaystyle{ 
g'\left( x \right) < 0 \Leftrightarrow f\left( x \right) < \beta  = f\left( {f^{ - 1} \left( \beta  \right)} \right) \Leftrightarrow x < f^{ - 1} \left( \beta  \right) 
} αφού f είναι γνήσια αύξουσα.
Έτσι η συνάρτηση g είναι γνήσια φθίνουσα στο \displaystyle{\left( {0,f^{ - 1} \left( \beta  \right)} \right]} και γνήσια αύξουσα στο \displaystyle{\left[ {f^{ - 1} \left( \beta  \right), + \infty } \right)}
, οπότε η συνάρτηση g παρουσιάζει στο \displaystyle{x_0  = f^{ - 1} \left( \beta  \right)} ολικό ελάχιστο, το \displaystyle{g\left( {f^{ - 1} \left( \beta  \right)} \right) = 0}, άρα \displaystyle{g\left( x \right) \ge 0,\forall x > 0}.
Έτσι θα είναι και g(\alpha)\geq0 που είναι ακριβώς η αποδεικτέα. (ο.ε.δ.)

Ελπίζω να είναι όλα καλά... Εγώ τουλάχιστον έτσι την κάνω στο μάθημα... Αν πάντως υπάρχει κάποιο πρόβλημα, παρακαλώ την εξαιρετική παρέα, να το επισημάνει...

Φιλικά, Θωμάς


Τους Λαιστρυγόνας και τους Κύκλωπας,
τον άγριο Ποσειδώνα δεν θα συναντήσεις,
αν δεν τους κουβανείς μες την ψυχή σου,
αν η ψυχή σου δεν τους στήνει εμπρός σου
(ΙΘΑΚΗ - Κ.Π. ΚΑΒΑΦΗΣ)
Άβαταρ μέλους
R BORIS
Επιμελητής
Δημοσιεύσεις: 2395
Εγγραφή: Σάβ Ιαν 03, 2009 8:08 am
Επικοινωνία:

Re: Ανισότητα Young - Εξαιρετική άσκηση

#9

Μη αναγνωσμένη δημοσίευση από R BORIS » Παρ Δεκ 02, 2011 5:35 pm

Μια λύση έχουμε γράφοντας το, \displaystyle{\int_{0}^{b}{f^{-1}dx}} ως \displaystyle{\int_{0}^{b}{...}=\int_{0}^{f(a)}{...}+\int_{f(a)}^{b}{...}}
Για το \displaystyle{\int_{0}^{a}{...}+\int_{f(0)}^{f(a)}{...}} θέτουμε \displaystyle{x=f(u)} ξεπερνώντας την δυσκολία της \displaystyle{f^{-1}} ,εξ άλλου εχει τεθεί στον ΑΣΕΠ και σαν 3ο θέμα σε παλιότερες πανελλήνιες

Για το \displaystyle{\int_{f(a)}^{b}} κάνουμε ΘΜΤΟΛ...

Αν οι μαθητές έχουν φτάσει σε επίπεδο να ακούν τέτοιες ασκήσεις μπορούν να χωνέψουν πως η απόδειξη του ΘΜΤολ είναι μισή γραμμή . Είναι η 7Γ11 σελίδα 233 εδώ


mariagsp
Δημοσιεύσεις: 5
Εγγραφή: Τετ Ιαν 09, 2019 7:19 pm

Re: Ανισότητα Young - Εξαιρετική άσκηση

#10

Μη αναγνωσμένη δημοσίευση από mariagsp » Κυρ Μαρ 24, 2019 6:26 pm

!
τελευταία επεξεργασία από mariagsp σε Δευ Απρ 01, 2019 11:35 pm, έχει επεξεργασθεί 1 φορά συνολικά.


Mihalis_Lambrou
Επιμελητής
Δημοσιεύσεις: 18231
Εγγραφή: Κυρ Δεκ 21, 2008 2:04 am

Re: Ανισότητα Young - Εξαιρετική άσκηση

#11

Μη αναγνωσμένη δημοσίευση από Mihalis_Lambrou » Κυρ Μαρ 24, 2019 7:09 pm

mariagsp έγραψε:
Κυρ Μαρ 24, 2019 6:26 pm
ΘΑ ΜΠΟΡΟΥΣΑΤΕ ΝΑ ΜΕ ΒΟΗΘΗΣΕΤΕ ΣΕ ΑΥΤΗ ΤΗΝ ΑΣΚΗΣΗ ?

\lim (|x|^{a}|y|^{b})/(|x|^{2}+|y|^{4}) (x,y)\rightarrow (0,0)

να βρω τα a,b
Προσπαθώ να καταλάβω τι δουλειά έχει αυτό το ποστ ως συνέχεια άλλου προ 8 ετών με άσχετο θέμα. Και το πιο παράδοξο είναι ότι μιλάς για όριο δύο μεταβλητών σε θρεντ σχολικών Μαθηματικών. Άσε που η εκφώνηση δεν είναι πλήρης.

Καλό είναι, επίσης, να γράφεις με πεζά γράμματα και να χρησιμοποιείς το σωστό σύμβολο του ερωτηματικού (στο ελληνικό αλφάβητο δεν είναι "?").


Άβαταρ μέλους
KARKAR
Δημοσιεύσεις: 17427
Εγγραφή: Τετ Δεκ 08, 2010 6:18 pm

Re: Ανισότητα Young - Εξαιρετική άσκηση

#12

Μη αναγνωσμένη δημοσίευση από KARKAR » Κυρ Μαρ 24, 2019 7:25 pm

Παρά ταύτα , δείτε και το σχετικό θέμα εδώ .


Mihalis_Lambrou
Επιμελητής
Δημοσιεύσεις: 18231
Εγγραφή: Κυρ Δεκ 21, 2008 2:04 am

Re: Ανισότητα Young - Εξαιρετική άσκηση

#13

Μη αναγνωσμένη δημοσίευση από Mihalis_Lambrou » Κυρ Μαρ 24, 2019 8:18 pm

KARKAR έγραψε:
Κυρ Μαρ 24, 2019 7:25 pm
Παρά ταύτα , δείτε και το σχετικό θέμα εδώ .
Θανάση, παραπέμπεις σε ποστ σχετικά με την ανισότητα Young. Η αναφορά μου στο ποστ του mariagsp είναι ότι το όριο που ζητά δεν έχει να κάνει με την Young.


mariagsp
Δημοσιεύσεις: 5
Εγγραφή: Τετ Ιαν 09, 2019 7:19 pm

Re: Ανισότητα Young - Εξαιρετική άσκηση

#14

Μη αναγνωσμένη δημοσίευση από mariagsp » Κυρ Μαρ 31, 2019 7:59 pm

Κύριε Μιχάλη παρά τη προσβλητική σας απάντηση το όριο που ανέβασα λύνεται προφανώς με την ανισότητα young για αυτό το λόγο το έγραψα στο συγκεκριμένο θέμα .....και επίσης να μάθετε να μιλάτε με πιο ενθαρρυντικό τρόπο σε μία ιστοσελίδα που απευθύνεται σε παιδιά ,φοιτητές κτλ.


Mihalis_Lambrou
Επιμελητής
Δημοσιεύσεις: 18231
Εγγραφή: Κυρ Δεκ 21, 2008 2:04 am

Re: Ανισότητα Young - Εξαιρετική άσκηση

#15

Μη αναγνωσμένη δημοσίευση από Mihalis_Lambrou » Κυρ Μαρ 31, 2019 9:44 pm

mariagsp έγραψε:
Κυρ Μαρ 31, 2019 7:59 pm
Κύριε Μιχάλη παρά τη προσβλητική σας απάντηση το όριο που ανέβασα λύνεται προφανώς με την ανισότητα young για αυτό το λόγο το έγραψα στο συγκεκριμένο θέμα .....και επίσης να μάθετε να μιλάτε με πιο ενθαρρυντικό τρόπο σε μία ιστοσελίδα που απευθύνεται σε παιδιά ,φοιτητές κτλ.
Θα αντιπαρέλθω τα σχόλιά σου γιατί το φόρουμ δεν είναι για διενέξεις. Όπως και να είναι, ζητώ συγνώμη αν προσέβαλα.

Μένει όμως η απορία μου τι δουλειά έχει ένα όριο δύο μεταβλητών σε θρεντ
ΜΑΘΗΜΑΤΙΚΑ ΚΑΤΕΥΘΥΝΣΗΣ Γ > 'ΟΛΟΚΛΗΡΩΤΙΚΟΣ ΛΟΓΙΣΜΟΣ


mariagsp
Δημοσιεύσεις: 5
Εγγραφή: Τετ Ιαν 09, 2019 7:19 pm

Re: Ανισότητα Young - Εξαιρετική άσκηση

#16

Μη αναγνωσμένη δημοσίευση από mariagsp » Δευ Απρ 01, 2019 11:30 pm

Δεν πρόσεξα ότι απευθυνόταν σε θέμα γ' λυκείου θα το διαγράψω!


nickolas tsik
Δημοσιεύσεις: 48
Εγγραφή: Σάβ Απρ 27, 2024 10:03 pm

Re: Ανισότητα Young - Εξαιρετική άσκηση

#17

Μη αναγνωσμένη δημοσίευση από nickolas tsik » Τετ Μάιος 01, 2024 1:54 pm

Καλησπέρα,γράφω κατι διαφορετικό γιατι έχει ήδη απαντηθεί.

Αρχικά χρησιμοποιούμε την jensen (λογικά θα μπορούσαμε και την ανίσοτητα bernoulli).Παιρνουμε την ln(x) που είναι κυρτή για x>0 και γνησίως αύξουσα.Έχουμε x_1=a^p,x_2=p^q και z=\frac{1}{p}
Aρα ln(tx_1+(1-t)x_2)\geq tln(x_1)+(1-t)ln(x_2)
\Leftrightarrow ln(\frac{a^p}{p}+\frac{b^q}{q})\geq \frac{1}{p}ln(a^p)+\frac{1}{q}ln(b^q)=ln(a)+ln(b)=ln(ab)
και εύκολα συμπεραίνουμε οτι\frac{a^p}{p}+\frac{b^q}{q}\geq ab
άρα λέμε οτι για κάθε συνεχή γνησίως αύξουσα f:[0,+ \infty)\rightarrow [0,+ \infty) και για ολα a,b>0
Εστω οτι [unparseable or potentially dangerous latex formula] είναι γνησίως αύξουσα για p>1 καιf^{-1}(x)=x^{\frac{1}{p-1}}=x^{q-1}
Αρα ισχυει \int_{0}^{a}x^{p-1}dx+\int_{0}^{b}f^{-1}(x)dx=\frac{a^p}{p}+\frac{b^q}{q}\geq ab


Απάντηση

Επιστροφή σε “ΟΛΟΚΛΗΡΩΤΙΚΟΣ ΛΟΓΙΣΜΟΣ”

Μέλη σε σύνδεση

Μέλη σε αυτήν τη Δ. Συζήτηση: Δεν υπάρχουν εγγεγραμμένα μέλη και 1 επισκέπτης