Σειρά!

Συντονιστές: grigkost, Κοτρώνης Αναστάσιος

Ωmega Man
Δημοσιεύσεις: 1264
Εγγραφή: Παρ Ιουν 05, 2009 8:17 am

Σειρά!

#1

Μη αναγνωσμένη δημοσίευση από Ωmega Man » Δευ Ιούλ 20, 2009 8:17 pm

Να υπολογιστεί η σειρά
\displaystyle \sum_{n=1}^{+\infty}\frac{(-1)^n}{n^2+1}.


What's wrong with a Greek in Hamburg?

Λέξεις Κλειδιά:

Άβαταρ μέλους
Σεραφείμ
Επιμελητής
Δημοσιεύσεις: 1872
Εγγραφή: Τετ Μάιος 20, 2009 9:14 am
Τοποθεσία: Θεσσαλονίκη - Γιάννενα

Re: Σειρά!

#2

Μη αναγνωσμένη δημοσίευση από Σεραφείμ » Δευ Ιούλ 20, 2009 8:53 pm

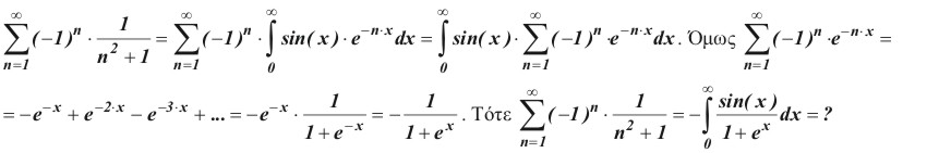
Mια μερική προσέγγιση με μετασχηματισμό Laplace ....
Συνημμένα
seira.jpg
seira.jpg (22.13 KiB) Προβλήθηκε 969 φορές


Σεραφείμ Τσιπέλης

Mihalis_Lambrou
Επιμελητής
Δημοσιεύσεις: 18192
Εγγραφή: Κυρ Δεκ 21, 2008 2:04 am

Re: Σειρά!

#3

Μη αναγνωσμένη δημοσίευση από Mihalis_Lambrou » Τρί Ιούλ 21, 2009 5:28 pm

Mancar Camoran έγραψε:Να υπολογιστεί η σειρά
\displaystyle \sum_{n=1}^{+\infty}\frac{(-1)^n}{n^2+1}.
Η δοθείσα παράσταση είναι ένα από τα γνωστά αθροίσματα τα οποία δεν εκφράζονται σε κλειστή μορφή. Μπορεί να εκφραστεί συναρτήσει της συνάρτησης Ψ (ή αλλιώς \Psi ^{(0)}), γνωστής ως polygamma function: Είναι εξ ορισμού \Psi ^{(n)} = \frac {d^{n+1}}{dx^{n+1}}ln \Gamma, όπου Γ η συνάρτηση Euler. Για n = 0 παίρνουμε Ψ = Γ'/Γ.

Υποθέτω ότι αν βάλετε στο Google την φράση "polygamma function" θα βρείτε τις βασικές της ιδιότητες.

Φιλικά,

Μιχάλης Λάμπρου.



Ωmega Man
Δημοσιεύσεις: 1264
Εγγραφή: Παρ Ιουν 05, 2009 8:17 am

Re: Σειρά!

#4

Μη αναγνωσμένη δημοσίευση από Ωmega Man » Τρί Ιούλ 21, 2009 7:12 pm

\displaystyle 1+2\sum_{n=1}^{+\infty}\frac{(-1)^n}{n^2+1}=-\sum_{z_{n}=i,-i}Res\left(\frac{\pi}{(sin(\pi z)(z^2+1)};z_{n}\right)=\frac{-\pi}{isin(\pi i)}=\frac{2\pi}{e^{\pi}-e^{-\pi}}. Άρα
\displaystyle \sum_{n=1}^{+\infty}\frac{(-1)^n}{n^2+1}=\frac{\pi e^{\pi}}{e^{2\pi}-1}-\frac{1}{2}.


What's wrong with a Greek in Hamburg?

Άβαταρ μέλους
Σεραφείμ
Επιμελητής
Δημοσιεύσεις: 1872
Εγγραφή: Τετ Μάιος 20, 2009 9:14 am
Τοποθεσία: Θεσσαλονίκη - Γιάννενα

Re: Σειρά!

#5

Μη αναγνωσμένη δημοσίευση από Σεραφείμ » Κυρ Ιούλ 26, 2009 8:04 pm

Πάρα πολύ όμορφο τελικά .....
Συνημμένα
Res.jpg
Res.jpg (209.84 KiB) Προβλήθηκε 783 φορές


Σεραφείμ Τσιπέλης

Απάντηση

Επιστροφή σε “ΑΝΑΛΥΣΗ”

Μέλη σε σύνδεση

Μέλη σε αυτήν τη Δ. Συζήτηση: Δεν υπάρχουν εγγεγραμμένα μέλη και 1 επισκέπτης