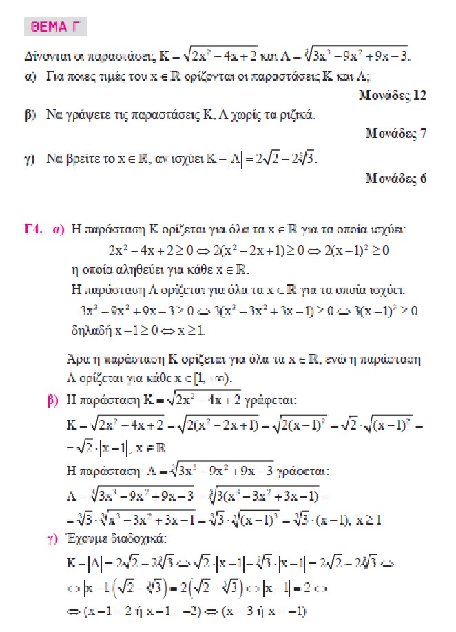
έπεσε η προσοχή μου σε αυτό. Μού φάνηκε παράξενο να θέτει στο 3ο ερώτημα το
σε απόλυτο, αφού είναι θετικός αριθμός.Έτσι κοίταξα και τις απαντήσεις και είδα ότι είναι δεκτή και η ρίζα
, που όμως δεν περιέχεται στο Π.Ο της
. Στο τελευταίο ερώτημα η εξίσωση ορίζεται όταν
, οπότε μπορεί να γραφεί, δίχως απόλυτα:
.
, σε αντιδιαστολή με την σύγχρονη πρακτική στον τόπο μας να παίρνουμε μόνο τους θετικούς. Αν έτσι είναι τα
ξεχάστηκε. Παρέμεινε δηλαδή δεκτή, από ... κεκτημένη ταχύτητα.